Номер 1061 - ГДЗ Алгебра 7 класс. Мерзляк, Полонский. Учебник. Страница 211

Вернуться к содержанию учебника

Страница 211

1058 1059 1060 1061 1062 1063 1064

Вопрос

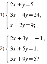
Имеет ли решение система уравнений:

Подсказка

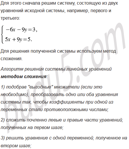
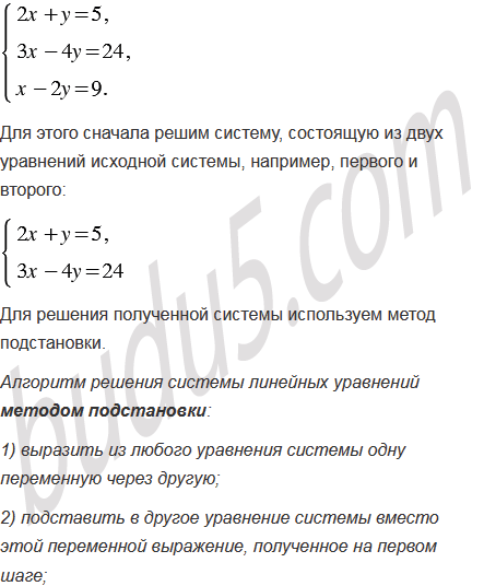
Ответ


Вернуться к содержанию учебника