Номер 151 - ГДЗ Алгебра 8 класс. Мерзляк, Полонский. Учебник. Страница 38

Вернуться к содержанию учебника

Упражнения § 5. Страница 38

148 149 150 151 152 153 154

Вопрос

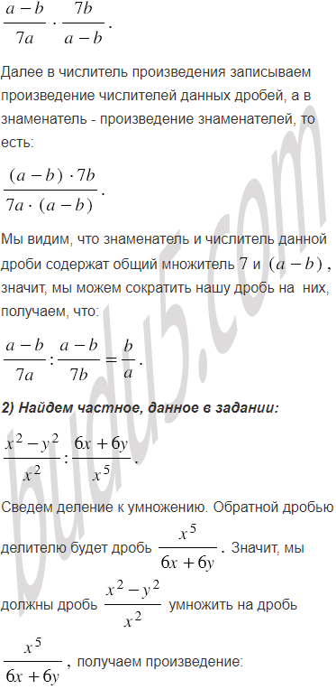
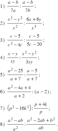
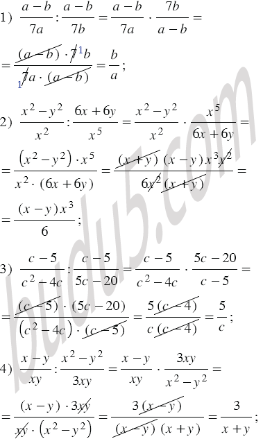
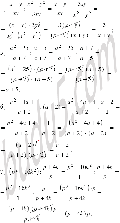
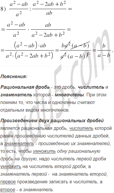
Упростите выражение:

Подсказка

Ответ


Вернуться к содержанию учебника