Номер 149 - ГДЗ Алгебра 8 класс. Мерзляк, Полонский. Учебник. Страница 37

Вернуться к содержанию учебника

Упражнения § 5. Страница 37

146 147 148 149 150 151 152

Вопрос

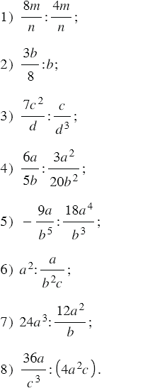
Выполните деление:

Подсказка

Ответ


Вернуться к содержанию учебника