Вернуться к содержанию учебника
Выберите год учебника
№2.386 учебника 2023-2024 (стр. 96):
Как из числа, записанного в квадратике, получить числа, записанные в кружках?


№2.386 учебника 2021-2022 (стр. 91):
Упростите выражение:

№2.386 учебника 2023-2024 (стр. 96):
Вспомните:
№2.386 учебника 2021-2022 (стр. 91):
Вспомните:
№2.386 учебника 2023-2024 (стр. 96):


Пояснения:
Чтобы узнать, как из числа, записанного в квадратике, получить числа, записанные в кружках, нужно вспомнить следующие правила:
1) чтобы сложить две дроби с разными знаменателями, надо: привести данные дроби к общему знаменателю, а затем применить правило сложения дробей с одинаковыми знаменателями;
2) чтобы найти сумму (разность) двух дробей с одинаковыми знаменателями, нужно сложить (вычесть) их числители, а знаменатель оставить прежним;
3) чтобы найти сумму смешанных чисел, надо: дробные части этих чисел привести к наименьшему общему знаменателю; отдельно выполнить сложение целых и отдельно дробных частей; при необходимости сократить дробь (разделить числитель и знаменатель дроби на их наибольший общий делитель), выделить целую часть (когда числитель больше знаменателя) и прибавить ее к полученной целой части;
4) произведением двух дробей является дробь, числитель которой равен произведению числителей, а знаменатель - произведению знаменателей.
При выполнении умножения, чтобы вычисления были проще, не надо перемножать сразу, лучше сделать это после сокращения. Сократить дробь - значит, разделить ее числитель и знаменатель на одно и то же число (наибольший общий делитель).
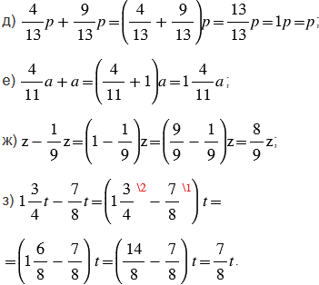
№2.386 учебника 2021-2022 (стр. 91):


Пояснения:
Чтобы упростить данные выражения, используем распределительное свойство умножения относительно сложения или относительно вычитаем, а именно выносим одинаковый множитель (букву) за скобки и выполняем вычисления в скобках по правилам, указанным ниже.
Чтобы найти сумму (разность) двух дробей с одинаковыми знаменателями, нужно сложить (вычесть) их числители, а знаменатель оставить прежним.
Чтобы сложить (вычесть) две дроби с разными знаменателями, надо: привести данные дроби к общему знаменателю, а затем применить правило сложения (вычитания) дробей с одинаковыми знаменателями.
Чтобы найти разность смешанных чисел, надо: дробные части этих чисел привести к наименьшему общему знаменателю; если дробная часть уменьшаемого больше дробной части вычитаемого, то надо отдельно вычесть целые и отдельно дробные части и результаты сложить; если дробная часть уменьшаемого меньше дробной части вычитаемого, то надо превратить ее в неправильную дробь, уменьшив на единицу целую часть, и отдельно вычесть целые и отдельно дробные части и результаты сложить.
Также помним то, что дробь, у которой числитель и знаменатель одинаковые, равна единице.
Если при вычислениях получилась сократимая дробь ее нужно сократить. Сократить дробь - значит, разделить ее числитель и знаменатель на одно и то же число (наибольший общий делитель).
Вернуться к содержанию учебника