Номер 510 - ГДЗ Алгебра 8 класс. Мерзляк, Полонский. Учебник. Страница 131

Вернуться к содержанию учебника

Упражнения §16. Страница 131

507 508 509 510 511 512 513

Вопрос

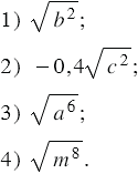
Замените выражение тождественно равным, не содержащим знака корня:

Подсказка

Ответ


Вернуться к содержанию учебника