Номер 336 - ГДЗ Алгебра 8 класс. Мерзляк, Полонский. Учебник. Страница 83

Вернуться к содержанию учебника

Упражнения § 10. Страница 83

333 334 335 336 337 338 339

Вопрос

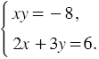
Определите графически количество решений системы уравнений

Подсказка

Ответ


Вернуться к содержанию учебника