Вернуться к содержанию учебника
Упражнения § 7. Страница 58
214 215 216 217 218 219 220 221 222 223 224
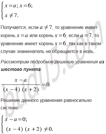
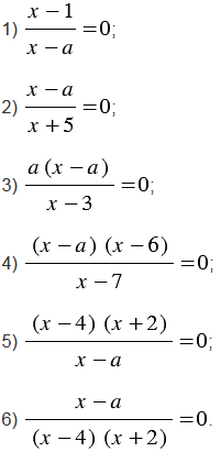
Для каждого значения решите уравнение:
Вспомните: