Номер 169 - ГДЗ Алгебра 8 класс. Мерзляк, Полонский. Учебник. Страница 40

Вернуться к содержанию учебника

Упражнения § 5. Страница 40

166 167 168 169 170 171 172

Вопрос

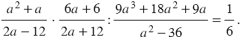
Докажите тождество:

Подсказка

Ответ


Вернуться к содержанию учебника