Формула Герона

Теорема

Площадь треугольника со сторонами , , выражается формулой , где - полупериметр треугольника.

Доказательство

Дано: АВС, АВ = , ВС = , АС = , - площадь АВС.

Доказать: , где .

Доказательство:

В любом треугольнике по крайней мере два угла острые (свойство треугольника). Пусть в АВС углы А и В - острые. Тогда основание Н высоты СН лежит на стороне АВ. Пусть СН =, АН =, НВ =.

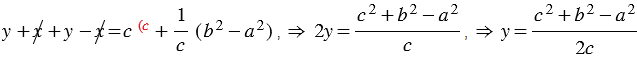
СНВ и СНА- прямоугольные (т.к. СН - высота), тогда по теореме Пифагора и , откуда , следовательно, , или , при этом (1), тогда , откуда

.   (2) 

Сложим равенства (1) и (2), получим:

.

Поэтому

        

При этом , тогда:

Подставляя выражения (4), (5), (6) и (7) в выражение (3), получим:

Следовательно, .

По формуле площади треугольника: , значит,

.

Теорема доказана.

Полученная формула называется формулой Герона.

Советуем посмотреть:

Понятие площади многоугольника

Площадь квадрата

Площадь прямоугольника

Площадь параллелограмма

Площадь треугольника

Площадь трапеции

Теорема Пифагора

Теорема, обратная теореме Пифагора

Площадь

Правило встречается в следующих упражнениях:

7 класс

Задание 525, Атанасян, Бутузов, Кадомцев, Позняк, Юдина, Учебник

Задание 12, Атанасян, Бутузов, Кадомцев, Позняк, Юдина, Учебник